Importance Of Learning Activity Sheets Deped
Dental Webinar on The Importance of Oral Health in a Learning Environment 10262021 Conference for the Curriculum Delivery and Learning Management for the Pilot Implementation of the Limited Face-to-Face Classes for SY 2021-2022. It can follow sets of rules private or shared.

Free 11 Activity Sheet Examples Samples In Pdf Examples
Activity Sheets AP IMs Automatec IPCRF Automated IPCRF Budget or Work Bulletin Board Displays Certificates Classroom Decoration COT Lesson Plans DepEd Advisory DepEd E-Class Record DepEd Forms DepEd Memo DepEd Modified E-Class Record DepEd News DepEd Official Statement DepEd Order DepEd Press Release DepEd TV Lesson Episodes DepEd VIsion.
Importance of learning activity sheets deped. Anonymous on Download FREE Learning Activity Sheets LAS for All Grades. 85M learners have enrolled for SY 2021-2022 DepEd An Igorot teachers take on NAS Daily vs Whang-Ods kin et al. Play activity is characteristic of living and life.
To ensure the delivery of quality accessible relevant and liberating basic education in the country the Department of Education DepEd underscored the importance of Results-Based Performance Management System RPMS that is aligned with the Philippine Professional Standards for Teachers PPST. Secretarys Message on the Graduation and Moving-up Ceremonies for School Year 2020-2021. It provides a context for social relationships and spontaneous learning.
If you failed to get 99 to 100 correctly go through the Lesson again and review especially those items which you failed to get. COMPUTER HARDWARE SERVICING 16 K to 12 Technology and Livelihood Education SCORING RUBRICS. Activity Sheet 12 Activity Sheet 11 HowDo YouApplyWhatYou HaveLearned.
Do the required Learning Activities. For Activity Sheet 12 Criteria. This means that you need not go through the Lesson because you already know what it is about.
Number of Tools classified Points 20 22 10 15 19 8 10 14 6 5 9 4 1 4 2 Find out by accomplishing the Scoring Rubric. They begin with one or more Information Sheets. Anonymous on Official DepEd Self-Learning Modules for All Grades Subjects.
The Department of Education DepEd underscored anew the importance of the Results-Based Performance Management System RPMS that is aligned with the Philippine Professional Standards for Teachers PPST in ensuring the delivery of quality accessible relevant and liberating basic education in the country. Play activity is of crucial importance to children of all ages. It emerges as part of the movements of actions and ideas across space and time.
RPMS-PPST Tools and Forms for the period of COVID-19 SY 2020-2021 - Deped Teachers Club on Detailed Lesson Plan First Quarter Grade 1-6 All Subjects. Corrigendum to Division Memorandum No. Santy Perez Leano on Ready to download Learning Materials for Senior High School students Amelia mariano on 900K teachers to receive P1000 for World Teachers Day Gel on Grade 1 Modules in Math Free Download.

Learning Activity Sheets Worksheets Melc Based All Grade Levels Deped Click

Worksheets Learning Activity Sheets Grade 1 6 Free Download Deped Click
Learning Activity Sheets Las Sample For All Grade Levels Guro Ako

How To Make Deped Learning Activity Sheets Easy To Folllow Youtube

Learning Activity Sheet Las Sample Templates Teach Pinas

Free 11 Activity Sheet Examples Samples In Pdf Examples
![]()
Dressmaking Learning Activity Sheet For Week 5 Docsity

Free 11 Activity Sheet Examples Samples In Pdf Examples

Learning Activity Sheets Las Youtube

Learning Activity Sheets In Science Complete Quarter 1 All Grade Levels Deped Click

Deped Learning Activity Sheets Las Sample Template Teacherph

Learning Activity Sheet Sample Template Free Download Deped Click

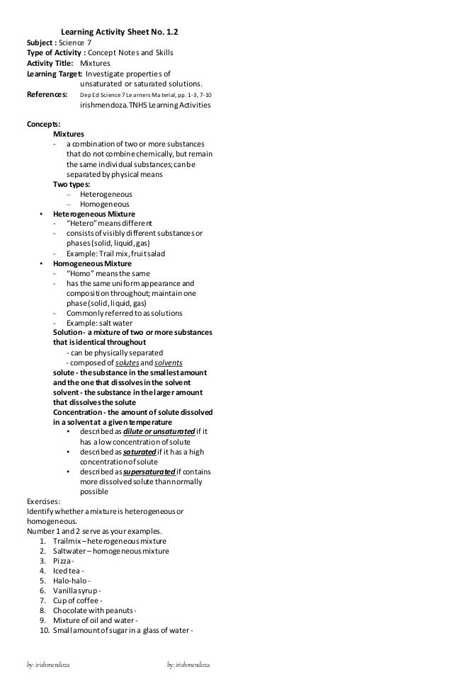
Learning Activity Sheet 1 2 Mixtures

Learning Activity Sheet Las Worksheet

Grade 6 Learning Activity Sheets In Filipino Complete Quarter 1 Free Download Deped Click

How To Make A Learning Activity Sheets Based On Melc Paano Gumawa Ng Gawaing Pagkatuto Youtube

Week 3 Learning Activity Sheets Las Q3 Grade 3 The Teacher S Craft

Learning Activity Sheet Sample Template English Deped Click

Free 11 Activity Sheet Examples Samples In Pdf Examples